본문 바로가기

알고리즘(Java)/programmers

[JAVA] 가장 먼 노드(코딩테스트 고득점 Kit [그래프]) - LEVEL3

📂문제 설명

 

n개의 노드가 있는 그래프가 있습니다. 각 노드는 1부터 n까지 번호가 적혀있습니다. 1번 노드에서 가장 멀리 떨어진 노드의 갯수를 구하려고 합니다. 가장 멀리 떨어진 노드란 최단경로로 이동했을 때 간선의 개수가 가장 많은 노드들을 의미합니다.

노드의 개수 n, 간선에 대한 정보가 담긴 2차원 배열 vertex가 매개변수로 주어질 때, 1번 노드로부터 가장 멀리 떨어진 노드가 몇 개인지를 return 하도록 solution 함수를 작성해주세요.

 

제한사항

  • 노드의 개수 n은 2 이상 20,000 이하입니다.
  • 간선은 양방향이며 총 1개 이상 50,000개 이하의 간선이 있습니다.
  • vertex 배열 각 행 [a, b]는 a번 노드와 b번 노드 사이에 간선이 있다는 의미입니다.

입출력 예

n                                                        vertex                                                 return

6 [[3, 6], [4, 3], [3, 2], [1, 3], [1, 2], [2, 4], [5, 2]] 3

입출력 예 설명

 

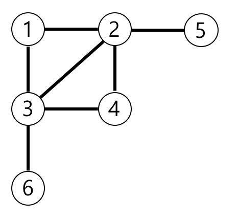
예제의 그래프를 표현하면 아래 그림과 같고, 1번 노드에서 가장 멀리 떨어진 노드는 4,5,6번 노드입니다.


📂아이디어 및 알고리즘(문제 풀이)

  • 문제 접근
    • 그래프 문제이기 때문에 list에 list를 넣어서 간선의 연결 정보를 넣어준다.
    • 그러면 어느 node에 몇번 node들이 연결돼 있는지 알 수 있다. 이렇게 하면 일단 연결에 대한 그래프를 만들 수 있다.
    • 이제는 1번 node에서 다른 노드들 까지의 최단 거리를 구해준다. [ Queue 를 이용해 연결된 노드의 정보를 통해 거리를 구한다.]
    • 그 최단 거리들 중에서 1번에서 가장 먼 노드들의 갯 수를 출력해주면 된다.
  • 문제 풀이
    • ArrayList<ArrayList<Integer>> list를 생성하여 그래프 만들기 준비를 해준다.
    • 한 번 방문한 곳에는 두 번 방문하면 안되기 때문에 boolean[] visited = new boolean[N+1]생성한다.  
    • edge를 순회하면서 list에 값을 넣어주어 그래프를 완성한다.
    • 1에서 다른 노드들까지의 거리를 구하기 위해 Queue를 이용해 거리를 구해준다.
      • 1에서 시작이기 때문에 queue.add(1)을 해준다.
      • list.get(queue.poll)로 큐에 저장된 노드번호에 대한 연결된 노드를 불러온다.
      • 연결된 노드들을 index로 순회하면서 방문한 적이 없으면 거리값을 1을 늘려서 distance[index]+1하여 저장한다.
      • 그리고 visited[index]로 방문했기 때문에 true로 만들어서 그쪽 노드로는 이동하지 않도록 막는다.
      • 이동한 노드에 대해 queue.add(index)를 해준다.
    • 이렇게 queue가 빌때까지 while문을 순회하게 되면 각각의 노드들은 1에서 얼마나 떨어져 있는지 distance값으로 알 수 있게된다.
    • 이제 distance[]을 순회하면서 max을 값을 찾고 그 값의 갯 수를 출력해주면 된다. 

 

📂소스 코드

import java.util.ArrayList;
import java.util.LinkedList;
import java.util.Queue;
class Solution {
    public static int solution(int n, int[][] edge) {
    	int answer=0;
    	int[] distance = new int[n+1];
    	boolean[] visited = new boolean[n+1];
    	visited[0]=visited[1]=true;
    	//그래프 구현
        ArrayList<ArrayList<Integer>> list = new ArrayList<ArrayList<Integer>>();
        
        for(int i=0;i<edge.length;i++) {
        	list.add(new ArrayList<Integer>());
        }

        //그래프 연결 
        for(int[] node:edge){
            int a=node[0];
            int b=node[1];
            list.get(a).add(b);
            list.get(b).add(a);
        }

        Queue<Integer> queue = new LinkedList<Integer>();
        queue.add(1);
        while(!queue.isEmpty()) {
        	int now = queue.poll();
        	for(int index : list.get(now)) {
        		if(!visited[index]) {
        			distance[index] = distance[now]+1;
        			visited[index] = true;
        			queue.add(index);
        		}
        	}
        }
        int max=0;
        for(int count : distance) {
        	if(count > max) {
        		max = count;
        		answer=1;
        	}
        	else if(max == count) answer++;
        }  
        return answer;
    }
}